Scale-up of Bioreactors: Revisiting the Heuristics

“It is paradoxical, yet true, to say, that the more we know, the more ignorant we become in the absolute sense, for it is only through enlightenment that we become conscious of our limitations. Precisely one of the most gratifying results of intellectual evolution is the continuous opening up of new and greater prospects.”

-Nikola Tesla

The past decade has seen a complete 180 degree shift in the way we looked at shopping. Right from purchasing the electronic gadgets, to ordering our meals, everything has gone online. This not only gives us an opportunity to choose what we want, but also to get it at the price we want, well, most of the times… Spoilt for choices, we have become very conscious about selecting each and every item, compare the alternatives and then go ahead with what we feel is best for us. Surprisingly, when it comes to choosing the right way of scaling up your process equipment, we still are a bit old fashioned!

As I have discussed in my previous article, when it comes to scaling up of a bioreactor, the hitherto approach has relied on maintaining the geometric similarity. Typically, the most important operating variables for a stirred bioreactor are (in addition to the geometric configuration including the impeller and the sparger design) the rotational speed of the impeller and the rate at which oxygen/air is bubbled through the vessel. In a QbD paradigm, these are called the “critical process parameters (CPP)”, as they directly impact the critical attributes of the final product. In QbD terminology, these attributes are called the “critical quality attributes (CQA)”. The experiments run in a laboratory help establish the “design space” for these CPPs and CQAs, which allows one to choose different combinations of these CPPs yielding the desired CQAs. Statistical analysis follows the data collection, and the design space is, in its simplest form, a correlation (often a linear one) between CQAs and CPPs.

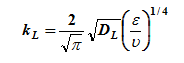
Now consider a situation where you want to scale up the process you just ran in a lab. Traditionally, a constant tip speed has been used as one of the criteria for scale up. This seems reasonable with bioreactors, as the cells should not experience a mechanical stress that would damage them. As a thumb rule, the tip speed is kept below 2.0 m/s, more commonly between 1.5 to 1.8 m/s. A little reflection would tell us that, if the tip speed is used as the criterion for the scale-up, the power per unit volume (P/V) reduces to 1/10th of what was obtained in lab. Now, P/V is an equally important parameter, if not more, in a scale up. It impacts practically every corner of your bioreactor. Not only does it affect the quality of mixing (well, not solely!), but also the overall mass transfer that takes place inside your reactor. This is evident from Higbie’s penetration theory:

Thus, the mass transfer coefficient, kL, is directly dependent on the power dissipation per unit mass (ᵋ) inside the vessel.

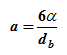
It does not stop here. While the sparger design is critical for ensuring a proper introduction of oxygen/air to your vessel, its effective distribution is ensured by your impeller. In fact, it has a two-fold impact on the overall oxygen uptake rate (OUR). Firstly, it is responsible for the coalescence and break-up of the bubbles. Thus, the size of the bubbles is a direct function of the intensity of agitation. Secondly, it affects the gas hold-up inside the bioreactor. The interfacial area available for mass transfer, ɑ, is directly proportional to the gas hold-up, α, and inversely proportional to the bubble diameter, d­b:

Thus, the overall mass transfer coefficient, kLɑ is a strong function of the agitation intensity.

The behavior of a bioreactor is, thus, a culmination of what we sow, not on the ground in terms of CPPs, but what goes on inside. The micro-environment that the cells experience in terms of power per unit volume, gas distribution and hold-up, ensures that the desired mass transfer coefficients are achieved. A closer look would tell us that, these “micro-environmental variables” are inherently scale-independent. That is, if we maintain them across the different scales, they would ensure a similar micro-environment inside the bioreactor. We will call them “critical process metrics (CPM)” in our future discussions.

As we said earlier, it is important to establish the design space for a bioreactor. Now that we know the importance of scale-independent CPMs, it becomes imperative to see how this could be applied to the actual design. Taking forward from my previous article, we need to understand our assets in a greater detail. What would be better than being able to visualize how and what CPMs your assets are able to provide? We will see that in my following articles.

Typical gas distribution inside a stirred bioreactor in presence of an impeller

Published by tvtamhane

A wanderlust by nature and a food lover at heart!

2 thoughts on “Scale-up of Bioreactors: Revisiting the Heuristics

Leave a comment

Design a site like this with WordPress.com
Get started